سیستم پخش صدا امروزه در صنعت خودروسازی آپشن بسیار با ارزشی است . و حتی مدلهای خاصی بنام این شرکت ها تولید میشود.
اما دانش این آپشن های باارزش از مسابقاتی بسیار دیدنی ، حرفه ای . و نمایش بر می اید.
با حمایت و سرمایه گذاری شرکت های فعال در زمینه سیستم های حرفه ای خودرو در ایران
شرایط اولین دیبی درگ ایران مهیا شده است لهذا جهت اطلاع دوستان و علاقمندان به شرکت در این مسابقه شرایط و کلاس بندی مسابقات
مطابق با شرایط جهانی اعلام میگردد.
جهت کسب اطلاعات بیشتر با این شماره تماس حاصل فرمائید.
02188626378
09123205184



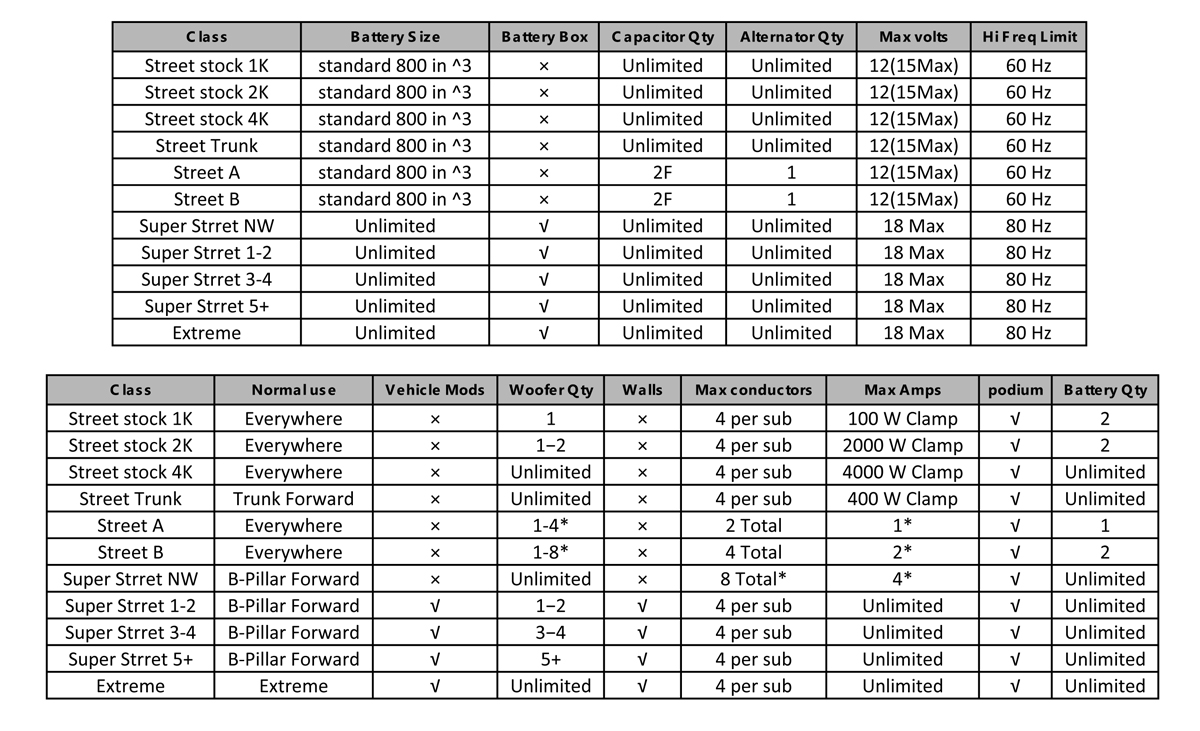
نکات مربوط به کلاس بندی ها :
Street stock 1k : ماکزیمم قدرت خروجی باید 1000 وات باشد
فقط یک عدد ساب ووفر در سایز دلخواه
Street stock 2k : ماکزیمم قدرت خروجی باید 2000 وات باشد
یک یا دو عدد ساب ووفر در سایز دلخواه
Street stock 4k : ماکزیمم قدرت باید 4000 وات باشد
تعداد نا محدود ساب ووفر در سایز دلخواه
Street trunk : تعداد نا محدود ساب ووفر و تعداد نا محدود آمپلی
فایر
ماکزیمم قدرت خروجی باید 4000 وات باشد و تمامی
آمپلی فایرها و ساب ووفرها در صندوق قرار بگیرند.
0 : StreetA یک عدد ساب 15 - یا 2 عدد ساب 12 - یا 3 عدد ساب 10 - یا 4 عدد ساب 8 اینچ
و 1 یا 2 عدد آملی فایر مونو
باید یک جفت رشته سیم بین راک آمپلی فایر و باکس
ساب ووفر متصل باشد.
: StreetB 1 عدد ساب 18 یا 2 عدد ساب 15 یا 4 عدد ساب 12 یا 6 عدد ساب 10 یا 8 عدد
ساب 8 اینچ
2 یا 4 عدد آمپلی
فایر مونو
باید دو جفت رشته سیم بین راک آمپلی فایر و باکس
ساب ووفر متصل باشد.
Super street NW class : تعداد نامحدود ساب ووفر
4 یا 8 عدد آمپلی
فایر مونو.
باید 4 جفت رشته سیم بین راک آمپلی فایر و باکس
ساب ووفر متصل باشد.( ماکزیمم 2 رشته سیم برای
هر ساب ووفر)
تعداد دینام :Alt
تعداد آمپلی فایر ها :Amps
جعبع باطری :Battery box
سایز هر باطری :Battery
size
تعداد باطری : Battery qty
مقدار فاراد خازن ها :Caps
ماکزیمم تعداد رشته سیم بین آمپلی فایر و باکس ساب
ووفرها . سیم بلندگو شامل دو رشته سیم که یکی :Maximum
conductors
منفی و دیگری مثبت می باشد
جای قرارگیری ساب ووفرها : Normal use
قدرت خروج سیستم :Power
قابلیت حرکت اتومبیل در حین مسابقه با حداکثر دو
موتور Run: 0111
باطری 12 ولت 6 سلولی که بصورت سری باید بسته شوند.
اسیدی یا ژله ای :Standard battery
نوع اتومبیل :Vehicle mod
تعداد دیواره :Walls
تعداد ساب ووفر : Woofer